Примечание.
Для доступа к этой странице требуется авторизация. Вы можете попробовать войти или изменить каталоги.
Для доступа к этой странице требуется авторизация. Вы можете попробовать изменить каталоги.
Представляет двухd-преобразование, влияющее на масштаб визуального элемента вдоль осей X и Y. Система координат масштабируется с указанной центральной точки.
Наследование
Интерфейс IDCompositionScaleTransform наследуется от IDCompositionTransform. IDCompositionScaleTransform также имеет следующие типы членов:
Методы
Интерфейс IDCompositionScaleTransform содержит следующие методы.
|
IDCompositionScaleTransform::SetCenterX Изменяет значение свойства CenterX преобразования двухмерного масштаба. |
|
IDCompositionScaleTransform::SetCenterX Анимирует значение свойства CenterX преобразования двухмерного масштабирования. |
|
IDCompositionScaleTransform::SetCenterY Изменяет значение свойства CenterY двухd-масштабирования. |
|
IDCompositionScaleTransform::SetCenterY Анимирует значение свойства CenterY преобразования двухмерного масштабирования. |
|
IDCompositionScaleTransform::SetScaleX Изменяет значение свойства ScaleX двухмерного преобразования масштабирования. |
|
IDCompositionScaleTransform::SetScaleX Анимирует значение свойства ScaleX двухмерного преобразования масштабирования. |
|
IDCompositionScaleTransform::SetScaleY Изменяет значение свойства ScaleY двухD-преобразования масштабирования. |
|
IDCompositionScaleTransform::SetScaleY Анимирует значение свойства ScaleY двухмерного преобразования масштабирования. |
Комментарии
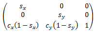
Преобразование масштаба представляет следующую матрицу 3 на 3:
Результатом является масштабирование системы координат вверх или вниз и применение соответствующего перевода таким образом, чтобы центральная точка не перемещалась.
Требования
| Минимальная версия клиента | Windows 8 [только классические приложения] |
| Минимальная версия сервера | Windows Server 2012 [только классические приложения] |
| Целевая платформа | Windows |
| Header | dcomp.h |