Поделиться через


Интерфейс IDCompositionScaleTransform (dcomp.h)

Представляет двухd-преобразование, влияющее на масштаб визуального элемента вдоль осей X и Y. Система координат масштабируется с указанной центральной точки.

Наследование

Интерфейс IDCompositionScaleTransform наследуется от IDCompositionTransform. IDCompositionScaleTransform также имеет следующие типы членов:

Методы

Интерфейс IDCompositionScaleTransform содержит следующие методы.

 
IDCompositionScaleTransform::SetCenterX

Изменяет значение свойства CenterX преобразования двухмерного масштаба.
IDCompositionScaleTransform::SetCenterX

Анимирует значение свойства CenterX преобразования двухмерного масштабирования.
IDCompositionScaleTransform::SetCenterY

Изменяет значение свойства CenterY двухd-масштабирования.
IDCompositionScaleTransform::SetCenterY

Анимирует значение свойства CenterY преобразования двухмерного масштабирования.
IDCompositionScaleTransform::SetScaleX

Изменяет значение свойства ScaleX двухмерного преобразования масштабирования.
IDCompositionScaleTransform::SetScaleX

Анимирует значение свойства ScaleX двухмерного преобразования масштабирования.
IDCompositionScaleTransform::SetScaleY

Изменяет значение свойства ScaleY двухD-преобразования масштабирования.
IDCompositionScaleTransform::SetScaleY

Анимирует значение свойства ScaleY двухмерного преобразования масштабирования.

Комментарии

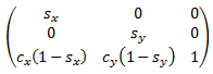
Преобразование масштаба представляет следующую матрицу 3 на 3:

Матрица масштабирования

Результатом является масштабирование системы координат вверх или вниз и применение соответствующего перевода таким образом, чтобы центральная точка не перемещалась.

Требования

   
Минимальная версия клиента Windows 8 [только классические приложения]
Минимальная версия сервера Windows Server 2012 [только классические приложения]
Целевая платформа Windows
Header dcomp.h

См. также раздел

IDCompositionTransform

IDCompositionVisual::SetTransform